Vanishing Point - Yousef's Notes
Vanishing Point

Vanishing Point

Under perspective projections, parallel straight lines appear to intersect at a point, the vanishing point.

Slide2-Image Formation, p.13

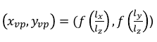
#Calculating the Vanishing Point

Mathematical intuition: $\frac{f}{z_0}$ when $z_0 \to \infty$ = 0. This is where everything is a single point.

Slide2-Image Formation, p.14

Slide2-Image Formation, p.14

  • Since vanishing points depend only on direction and not position, we consider the direction vector
$$ \hat{l}: (l_x, l_y, l_z) $$

shared by a family of parallel 3D lines.

  • In projective geometry, this direction corresponds to a point at infinity.
  • This point corresponds to any point on the ray
$$ \lambda(l_x,l_y,l_z) $$

originating at the camera center.

  • Projecting such a point onto the image plane yields the same image location for any $\lambda$. This location is the vanishing point of the parallel lines.

#Vanishing point in Art

The vanishing point has been used to attract viewer’s attention.

Slide2-Image Formation, p.15

Test yourself on QuizBuilder.ai