Lenses - Yousef's Notes
Lenses

Lenses

All rays coming from a given object point get mapped to a single point in the image providing the object is at “focus”.

  • it captures much more light → good
  • objects out of focus get blurred → bad

Lenses, like Pinhole cameras, perform perspective projection.

#Snell’s Law

Lenses are made of glass or plastic with refraction indexes much larger than air (~1).

Slide2-Image Formation, p.21
3B1B Video on Refraction Index

#Thin Conex Lens

Here’s how a thin convex lens focuses multiple rays coming from a point in the object on a single point mapped in the image (resulting in a sharp bright image at the focused area).

Slide2-Image Formation, p.22
Tradeoff: the detector has to be at the exact right focal distance f, and if not, it will be blurry.

The equation that determines the ideal distance is:

Slide2-Image Formation, p.22

#Magnification in Lenses

Magnification is defined in the same manner as before:

$$ m = \frac{h_i}{h_o} = \frac{i}{o} $$

Slide2-Image Formation, p.23

See [[Slide2-Image Formation.pdf#page=25|proof]] here.

#Magnification in Two Lenses

When applying magnification in two lenses, their magnification factors get multiplied.

$$ m = m_1 \cdot m_2 = \frac{i_1}{o_1} \cdot \frac{i_2}{o_2} $$

Slide2-Image Formation, p.26

#Focus in Lenses

Aperture: diameter of the lense $D = f/N$ (could be defined by the F-number (N))

A point being in focus means that all rays hit the detector at a single point. Out of focus means they hit detector at multiple points. (one single point will be mapped to a blurry circle)

There’s a “plane of focus” and points not mapped one-to-one on it will be represented by a disk.

Slide2-Image Formation, p.30

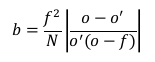
The formula for calculating the blur circle diameter is:

Slide2-Image Formation, p.30

Small apertures tend to behave like a pinhole (less light, less blur). In order to focus a defocused image, we can:

  1. Move the object to the object plane
  2. Move the image plane
  3. Move the lens
  4. Change the aperture
    Slide2-Image Formation, p.33
Test yourself on QuizBuilder.ai